「对方正在输入…」
图片:Pexels / CC0
「对方正在输入…」诞生 20 年,这句话对聊天带来了哪些影响?
从时间知觉的角度看,「对方正在输入...」这个功能带来的负作用>正作用,换句话说,这个功能或许 有不如没有。
题主在问题里的这篇文章中提到,这项专利的拥有者设计这个功能的初衷是:
「当时的实时聊天软件并不会告诉你,对方是否有对你发出的消息做出相应(如 IRC 和 AIM),要么就是直接显示用户实时键入的字符(如 Unixtalk 和 ICQ),但我们希望在不侵犯用户隐私的同时,兼顾通信效率,提供一个让彼此都能得到反馈的指示。」
也就是说,功能发明者原本希望通过「对方正在输入...」来提高沟通的即时反馈性。
初衷是好的,但设计者忽略了一个非常重要的点:我们心理上感知到的时间和实际的物理时间是有很大差别的。
人类不同于其他动物之处在于,可以用智慧去记录更加准确的时间,所以就有了远古时代在骨头上做标记,有了日历,有了日晷,有了漏刻,有了机械钟表,有了秒表,有了原子钟。尽管人类对物理时间的掌控越来越精确,但脱离计时设备,我们直接感知到的时间却向来很主观(time perception)。
当你处在愉悦状态时,你可能会美滋滋地跟你的好朋友说:我男朋友对我挺好的,回复我的消息从来不会超过三分钟。
当你处在生气状态时,你却可能会恶狠狠地对你的好朋友说:我那个辣鸡男朋友,竟然隔了三分钟才回复我消息。
研究发现,处于积极情绪时,我们感知到的时间会更短;相反,消极情绪下对时间的感知会变长。我们对持续时间(时距)的知觉受到多方面的影响。
那么重点就是:
微信的「对方正在输入...」功能使得我们感知到的等待时间加长了。



「对方正在输入...」的提示并没有真的闪动五分钟,持续的物理时间可能只有十来秒,但我们却感觉好像过了很久。
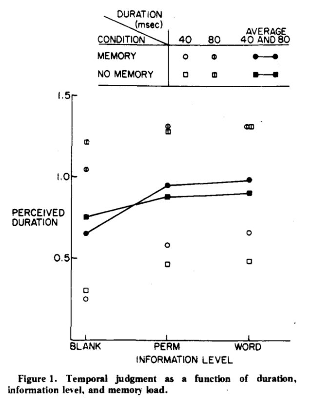
斯坦福大学心理学家 Thomas(1975)做了相关实验。他们为了探究认知过程对时间觉知产生的影响,设计了以下的实验——给参与者呈现不同条件下的界面,让他们估计界面持续的时间。
实验采用 2(靶目标呈现时间:40ms,80ms)×3(靶目标:空白界面,3 个字母的无意义组合,3 个字母的单词)×2(认知水平:需要记忆字母;不需要记忆字母)被试内设计。
屏幕首先呈现 1s 的黑屏,黑屏以后会出现一个界面,参与实验的学生需要对这个界面的持续时间进行按键判断,时间持续很短(20s 左右)按键 0,时间持续中等(60s 左右)按键 1,时间持续很长(100s 左右)按键 2。实验事先已经给参与者进行了时间估计的练习。
需要判断的界面会随机出现六种刺激:
持续 40ms:空白界面;无意义字母组合的界面;有意义字母(单词)的界面
持续 80ms;空白界面;无意义字母组合的界面;有意义字母(单词)的界面
第一种情景下,学生只需要作出主观判断,通过按键,来判断刚才的界面呈现了多长时间。
第二种情景下,学生不仅要通过按键,来判断界面的时间长短,还需要记住界面上出现的字母。
最后的实验结果如下:

有价值的结果有:
- 不管需不需要记忆字母,在呈现时间相同的情况下,相较于界面中呈现字母的情况,界面空白时人们感觉等待的时间更短。
- 需要记忆字母的情况比不需要记忆字母的情况,人们感觉等待的时间更长,并且两者的差距加大了。
由此研究者验证了以下假设:
- 人对时间的觉知来自两个处理器,一个是自带的计时器(time processor),你可以理解成类似于生物钟一样的东西,可以自动监测时间的变化;另一个是视觉信息处理器(visual information processor),也就是非时间信息。
- 这两个处理器共享注意资源。当视觉信息处理占用了更多的注意以后,原本我们自带的计时器(time processor)就不准了。在实验中,当需要同时记忆字母时,人们的注意资源也更多的被消耗,而使自带的计时器不准了,同时感知到的持续时间会越长。
回到微信这个「对方正在输入...」功能设计。你会发现这个过程跟上述实验有惊人的相似之处。
从你发出信息到你接受信息,这段等待时间就类似于上述的空白屏幕;
假如在这个过程中,出现「对方正在输入...」的视觉提示,就类似于上述实验中呈现的有字母情况。
很显然,在这个等待过程中,「对方正在输入...」的提示占用了我们一部分的注意资源,就会使我们觉得等待的时间变长了。
当「对方正在输入...」出现在聊天界面时,我们会不由自主地进行各种猜想:
他是不是有很多话想跟我说,却不好意思说
他这是要打一大段吗
怎么这么半天还没发过来,是因为忙被打断了吗
......
像我这种巨蟹宝宝,脑洞很有可能开到银河外。
这些不确定性越发增加了我们的认知负荷,消耗更多的注意资源,更容易让我们感觉到:“我等了半天,怎么就等来几个字的回复!”
更可怕的是,这个设计有个 bug,「对方正在输入...」提示到底什么时候会出现仿佛是个迷,这就更加重了我们的认知负荷,导致我们对等待时间的估计不准。
很多用户都感到云里雾里,很可能因为「对方正在输入...」把对象搞的生无可恋后,才发现,原来不是他的锅。知乎上就有这样的问题,浏览量达到 6884087。
为此,知友 @雷科技 还为大家整理了「对方正在输入...」会出现和不会出现的情况。

那么如何避免「对方正在输入...」的提示带来的困扰呢?
很简单,就当没看见。
PS: 其实,关于「对方正在输入...」这个功能到底带来了怎样的影响,其实完全可以设计成心理实验去验证。比如,放到实验情境中,设置 「有提示组」, 「无提示组」,还可以探究不同的提示时间、不同聊天内容下,人们对等待时间的感知到底是更长还是更短。
关于时间心理学,推荐津巴多的《时间的悖论》,非常有趣而贴近生活:
参考文献:
林苗, & 钱秀莹. (2012). 注意在时间知觉中的作用及其理论模型. 心理科学进展, 20(6).
Thomas, E. A. C. , & Weaver, W. B. . (1975). Cognitive processing and time perception. Attention Perception & Psychophysics, 17(4), 363-367.
Thomas, E. C. , & Brown, I. . (1974). Time perception and the filled-duration illusion. Attention Perception & Psychophysics, 16(3), 449-458.